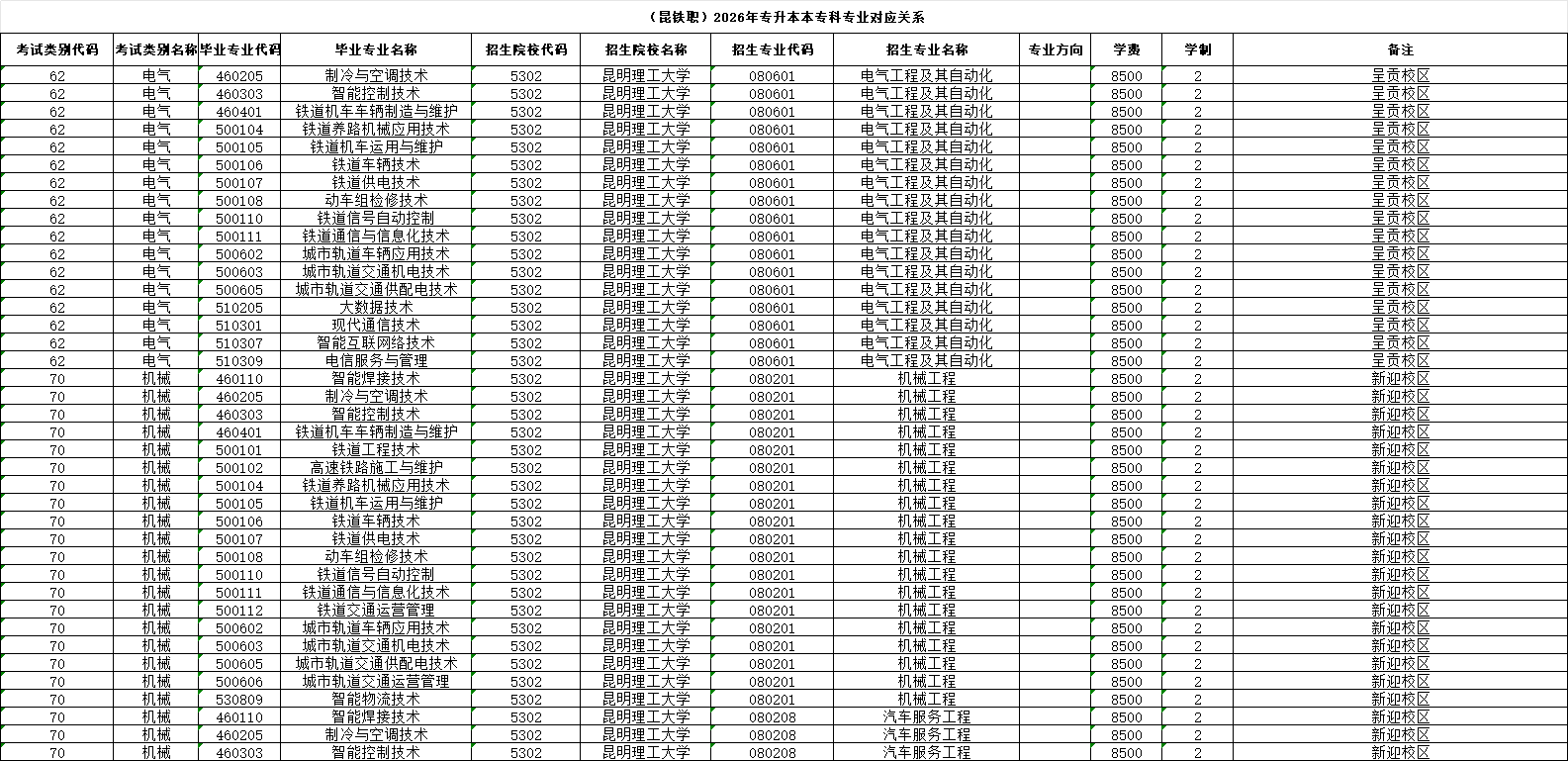
根据云南省招生考试院对2026年普通高校专升本招生工作的通知安排,现对我校2026届毕业专业对应报考的本科院校名称、专业类别、专业代码、专业名称进行公示(详见附件)。
公示中,若毕业生对专业对应有意见,请于2025年12月7日12点前反馈至各二级学院,由二级学院统一收集反馈意见后报送至招生就业处。逾期视为无异议
招生就业处电话:0871-64883443

图片仅为部分内容展示,如需查看全部点击原文链接:http://www.kmtdzy.cn/zsxxw/info/1012/1315.htm
以上昆明铁道职业技术学院2026年普通专升本招生专业及对应专科专业情况资料来自小编个人整理汇总,仅供同学们参考。青春因努力而闪光,我们号召更多的同学向学长学姐们看齐,在学习上精益求精,奋勇拼搏,续写佳绩。同时,我们也真心祝福各位专升本考试取得成功的同学,前程似锦,踔厉奋发,绽放自己的青春之花。
抖音
微信
微博
QQ群
400-023-1785


